关注

深度学习篇---归一化

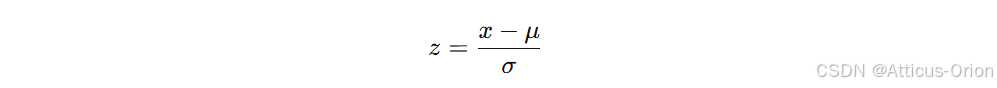
一、什么是 Z-score 归一化?

Z-score 归一化是一种常见的数据预处理方法,目的是将不同量纲、不同取值范围的数据变换为均值为 0、标准差为 1 的分布。

公式:

  • x:原始数据

  • μ:数据的均值

  • σ:数据的标准差

转换后的数据称为 Z 分数,表示原始数据距离均值有多少个标准差。


二、Z-score 归一化的特点

1. 不改变数据分布形态

  • 只改变数据的位置(均值)尺度(标准差),不改变原始分布的相对形状(如偏度、峰度等不变)。

2. 对异常值敏感

  • 均值和标准差受极端值影响较大,若数据中存在离群点,Z-score 归一化效果可能变差。

3. 输出范围无固定区间

  • 与 Min-Max 归一化不同,Z-score 归一化后的数据范围不固定在 [0,1] 或 [-1,1],一般约 99.7% 的数据落在 [-3,3] 之间(假设近似正态分布)。

4. 保留相对关系

  • 原始数据的大小顺序、距离的相对关系(在欧氏距离意义下按比例缩放)会被保留。


三、应用场景

场景说明
机器学习算法对基于距离的算法(KNN、SVM、K-Means、PCA)非常必要,防止特征量纲影响模型
正则化与梯度下降使损失函数等高线更圆,加快收敛速度
特征可比性消除不同单位、不同尺度的影响,便于综合比较
异常检测Z-score 绝对值过大可视为异常(如z> 3)

四、优缺点总结

✅ 优点

  • 不受数据取值范围限制,适用于近似正态分布的数据

  • 保留原始数据的分布形态

  • 许多统计模型和机器学习模型假设数据服从标准正态分布,Z-score 可满足该要求

❌ 缺点

  • 要求知道或能计算均值和标准差(对实时流数据不友好)

  • 对异常值敏感

  • 输出范围不确定,不适用于必须限定输出区间的场景(如图像像素值 0–255)


五、与 Min-Max 归一化的简单对比

特性Z-score 归一化Min-Max 归一化
输出范围均值 0,标准差 1,无固定上下界固定区间(如 [0,1])
对异常值敏感性敏感非常敏感(极端值压缩正常值)
适用分布正态或近似正态任意分布,但需注意边界值
是否保留零值变换后通常不为零可能保留 0(若原数据有 0)

六、Mermaid 总结框图

以下框图总结了 Z-score 归一化的核心概念、公式、优缺点及应用场景。

七、其他常见的归一化

一、Min-Max 归一化

公式

  • 输出范围:通常 [0, 1](也可以映射到任意区间 [a, b])

  • 特点

    • 将数据线性压缩到固定区间

    • 对异常值极其敏感(一个极大值会压缩其余正常数据)

    • 保留原始数据的相对大小关系

  • 适用场景:需要严格限制输出范围的情况(如图片像素处理、神经网络输入层)


二、MaxAbs 归一化

公式

  • 输出范围:[-1, 1]

  • 特点

    • 不移动/中心化数据,仅缩放

    • 保留数据的正负号

    • 对异常值敏感(受最大绝对值影响)

  • 适用场景:稀疏数据(避免破坏零值)、已中心化的数据


三、RobustScaler(鲁棒归一化)

公式

(IQR = 四分位距,即 Q3 - Q1)

  • 输出范围:无固定区间

  • 特点

    • 对异常值不敏感(使用中位数和分位数)

    • 受极端值影响远小于 Z-score 和 Min-Max

  • 适用场景:数据包含大量离群点


四、单位向量归一化(L2 归一化)

公式

  • 输出范围:每个样本的 L2 范数为 1(向量长度为 1)

  • 特点

    • 将每个样本(行)缩放为单位向量,而不是逐特征缩放

    • 保留方向信息,消除长度影响

  • 适用场景:文本分类(TF-IDF 后)、聚类(余弦相似度)、需要比较向量方向的场景


五、均值归一化(Mean Normalization)

公式

  • 输出范围:通常 [-1, 1]

  • 特点

    • 结合了中心化(减均值)和缩放(除极差)

    • 比 Min-Max 多了中心化,比 Z-score 分母不同

  • 适用场景:需要数据有正有负且范围可控


六、对数/幂变换(非线性归一化)

  • 对数变换:x′=log⁡(1+x)(处理长尾分布)

  • Box-Cox 变换:x′=xλ−1λ1​(使数据更接近正态分布)

  • 特点:非线性,改变分布形态,压缩大值

  • 适用场景:偏态分布、异方差性数据


七、对比总结表

方法公式核心输出范围对异常值敏感是否中心化典型应用
Z-score(x - μ)/σ无固定(≈99.7%在[-3,3])敏感距离类模型、PCA
Min-Max(x - min)/(max - min)[0,1](或自定义)非常敏感图像、神经网络
MaxAbsx / max(|x|)[-1,1]敏感稀疏数据
RobustScaler(x - median)/IQR无固定不敏感含异常值的数据
L2 归一化x / |x|₂单位向量(范数为1)视情况文本、余弦相似度
均值归一化(x - μ)/(max - min)[-1,1] 附近非常敏感需中心化且范围可控
对数变换log(1 + x)(0, ∞) → (0, ∞)不敏感(压缩大值)长尾分布

八、Mermaid 总结框图


九、选择建议

数据情况推荐方法
近似正态分布,无大异常值Z-score
需要严格输出范围(如 [0,1])Min-Max
有较多异常值RobustScaler
稀疏数据(含很多0)MaxAbs
需要比较向量方向(文本/推荐)L2 归一化
长尾分布对数变换 → 再 Z-score
神经网络输入(无严格要求)Min-Max 或 Z-score(通常 Z-score 收敛更快)

转载自CSDN-专业IT技术社区

原文链接:https://blog.csdn.net/2301_79556402/article/details/159931355

评论

赞0

评论列表

微信小程序
QQ小程序

关于作者

点赞数:0
关注数:0
粉丝:0
文章:0
关注标签:0
加入于:--